Blog
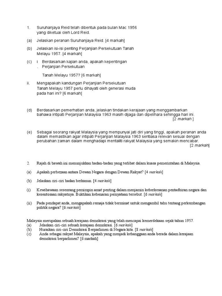
Kandungan Perjanjian Persekutuan Tanah Melayu 1957
citi bank cash back card benefits
citi bank credit card application status check
citibank clear card benefits coffee bean
chrome pop up blocked
ciri ciri sistem peperiksaan perkhidmatan awam tamadun china
citibank cash back credit card minimum spend
citi cash back card review singapore
citi simplicity credit card customer service number
Perjanjian Persekutuan Tanah Melayu 1957 Pdf
Pdf Perjanjian Persekutuan Tanah Melayu 1957 Chew Yee Herng Carlson Academia Edu
Bab 5 Ting 5 Sejarah Spm
Persekutuan Tanah Melayu 1957
Bab 5 Ting 5 Sejarah Spm
Belajar Sejarah Spm Perjanjian Persekutuan Tanah Melayu 1957
Perjanjian Persekutuan Tanah Melayu Malaya 1957 Sskm Ssu Uk
Http Narasumbersejarahspm Blogspot Com 2013 03 Persekutuan Tanah Melayu Html
Isi Isi Penting Perjanjian Persekutuan Tanah Melayu 1957 By Nur Faqirah
Isi Isi Perjanjian Malaysia 1963 Kepentingannya Sejarah Stpm
Doc Persekutuan Tanah Melayu1948 Fiz Haron Academia Edu
Esei Kbat
Nota Sejarah Tingkatan 5
Sejarah Terengganu K2
Perjanjian Persekutuan Tanah Melayu 1957 Pdf
Sejarah T5 Bab 5 Pembinaan Negara Dan Bangsa Yang Merdeka
Semarak Merdeka Memahami Kandungan Pemasyhuran Kemerdekaan Karim S Blog
Perjanjian Persekutuan Tanah Melayu 1948 Wikipedia Bahasa Melayu Ensiklopedia Bebas
Pengajian Malaysiaaaa Perjanjian Persekutuan Tanah Melayu
Perjanjian Berkenaan Dengan Penubuhan Perlembagaan Malaysia Wikisource
Source :
pinterest.com
Random Posts
Jabatan Agama Islam Wilayah Persekutuan Labuan
Jabatan Agama Islam Negeri Sembilan Borang Hiv
J T Express Rates Visayas
Jabatan Hal Ehwal Khas Jasa Kerja Kosong
It Chapter 2 Full Movie In Hindi Watch Online Filmywap
Jabatan Hal Ehwal Khas Jasa Fungsi
J T Express Rate Sabah
Jabatan Ketua Pengarah Tanah Dan Galian Persekutuan Negeri Pulau Pinang
Jabatan Agama Islam Wilayah Persekutuan Kompleks Pusat Islam Jalan Perdana
Jabatan Kemajuan Masyarakat Kemas Pulau Pinang
Jabatan Kemajuan Masyarakat Kemas Putrajaya
Jabatan Hal Ehwal Khas Jasa Malaysia Wikipedia
It Chapter 2 Full Movie In English Online
Jabatan Kastam Diraja Malaysia Johor Ciq
Jabatan Bekalan Air Luar Bandar Sarawak Vacancy
Jabatan Agama Islam Wilayah Persekutuan Kuala Lumpur Federal Territory Of Kuala Lumpur
It Chapter 2 Full Movie In Telugu Download
Jabatan Perpaduan Negara Dan Integrasi Nasional Logo
Jabatan Agama Islam Wilayah Persekutuan Cawangan Putrajaya
Jabatan Perpaduan Negara Dan Integrasi Nasional Negeri Sembilan